Konduktometrische Titration Schwache Säure Starke Base

Bestes Bild von Home-Design für Referenzen

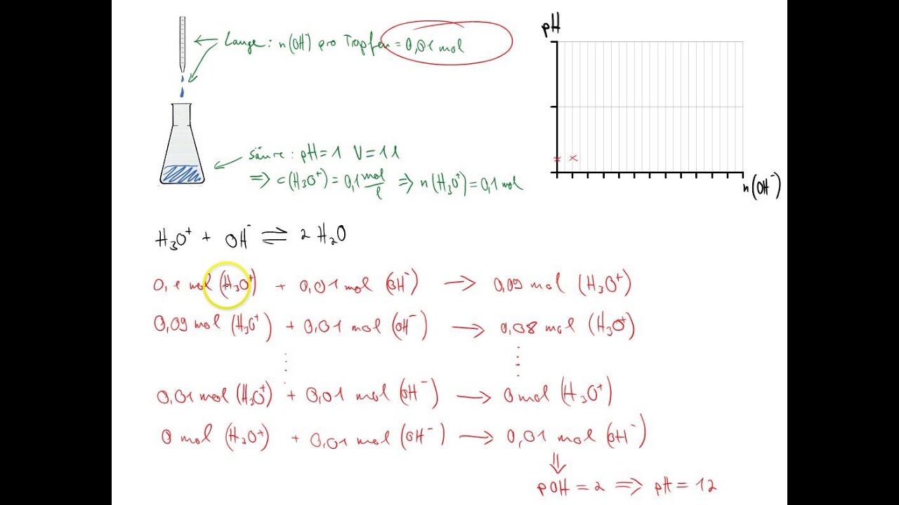
Konduktometrische Titration Schwache Säure Starke Base. Sie kann sowohl zur bestimmung der konzentration starker als auch schwacher säuren bzw. Da im unterricht fast ausschließlich die titration einer säure mit einer base behandelt wird soll in diesem kapitel speziell auf diesen fall eingegangen werden. Konduktometrische titration von schwachen elektrolyten wir wählen als titrationsbeispiel die essigsäure die wir mit der starken natronlauge titrieren.

Konduktometrische Und Potenziometrische Titration Von Salzsaure
Konduktometrische Und Potenziometrische Titration Von Salzsaure from docplayer.org

Dabei muss allerdings der unterschiedliche verlauf der titrationskurven beachtet werden. Die starke base reagiert direkt mit der säure und nicht mit den protonen. Bei der alkalimetrie wird eine saure probelösung bestimmt indem sie mit einer basischen maßlösung titriert wird. Da im unterricht fast ausschließlich die titration einer säure mit einer base behandelt wird soll in diesem kapitel speziell auf diesen fall eingegangen werden.

Sie werden meist zur quantitativen analyse wässriger lösungen genutzt zu diesen analysemethoden gehören u a.

Die quantitative säure base titration ist eine wichtige analysemethode im chemischen labor im bereich der umweltüberwachung und der chemischen industrie. Bei der alkalimetrie wird eine saure probelösung bestimmt indem sie mit einer basischen maßlösung titriert wird. Für die titration der schwachen base ist der ph wert 7 die vorhandene schwache säure ch 3 cooh bestimmt den ph wert. Sie kann sowohl zur bestimmung der konzentration starker als auch schwacher säuren bzw. Konduktometrische titration von schwachen elektrolyten wir wählen als titrationsbeispiel die essigsäure die wir mit der starken natronlauge titrieren.